Factorize `9z^3-27z^2 - 100z+300`; if it is given that (3z+10) is a factor it.Factorize `9z^3-27z^2 - 100z+300`; if it is given that (3z+10) is a factor it.
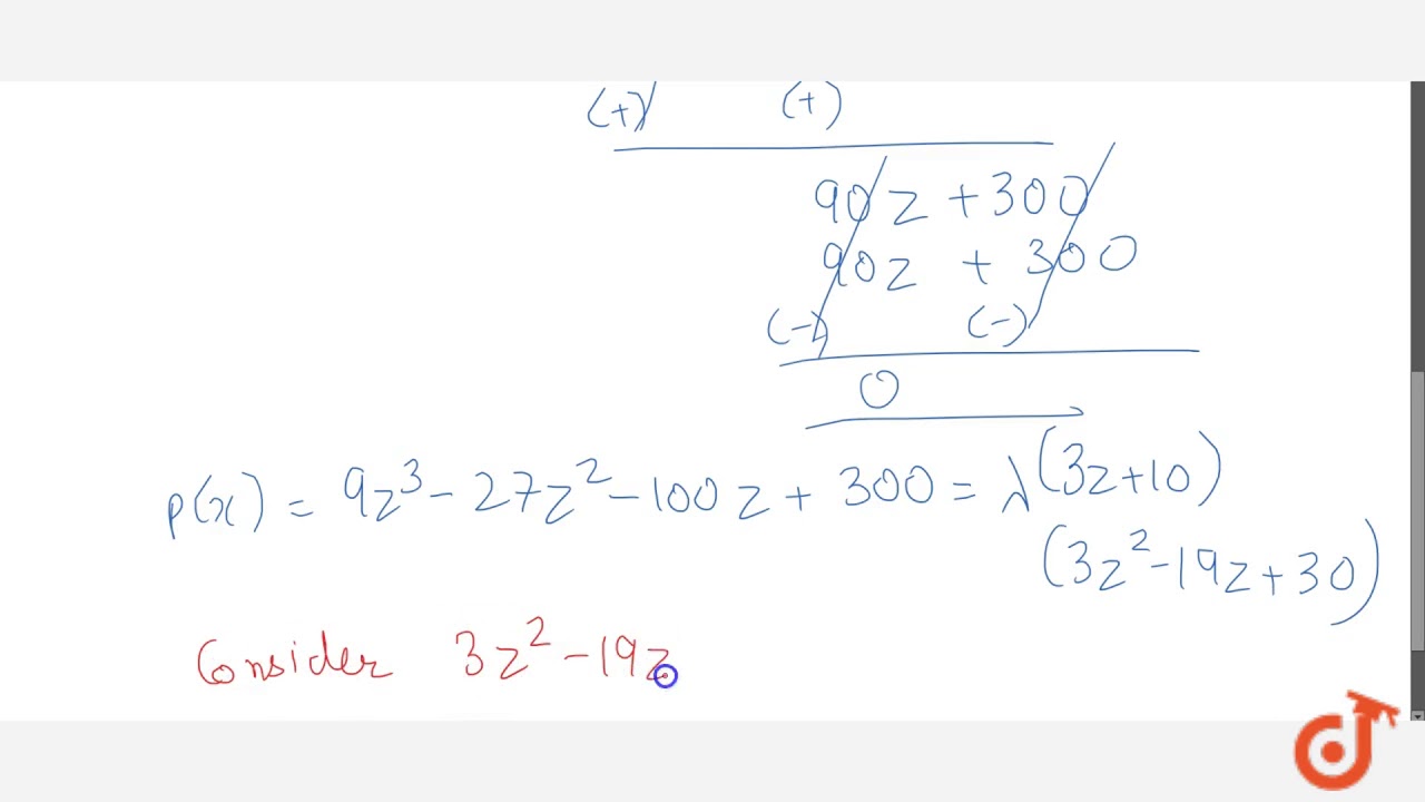
Factorize `9z^3-27z^2 - 100z+300`; if it is given that (3z+10) is a factor it.
Factorize `9z^3-27z^2 - 100z+300`; if it is given that (3z+10) is a factor it.

0 Comments